Illustration Ronni

Rabu, 09 Maret 2022

Gold Confetti Transparent Background Png - Confetti Png Images Transparent Confetti Image Download Page 2 Pngitem /

Search more hd transparent gold confetti image on kindpng. The default photo viewer in windows is often used to open png files, but there are many other ways to view one. A png file is a portable network graphics file. Learn how to buy gold with this guide. Be prepared to know how much your gold is worth.

Download gold confetti transparent background and use any clip art,coloring,png graphics in your website, document or presentation. Gold Confetti Png Free Gold Confetti Png Free Transparent Png Download Pngkey
Gold Confetti Png Free Gold Confetti Png Free Transparent Png Download Pngkey from www.pngkey.com
Gold confetti transparent clipart images. All images are transparent background and unlimited download. 128 gold confetti png transparent images. Discover 157 free gold confetti png images with transparent backgrounds. Gold confetti overlay, gold confetti pattern, gold confetti poppers, gold confetti plates, gold confetti scattered transparent png images free download. Download transparent gold confetti png for free on pngkey.com. Tim fisher has more than 30 years' of professional technology experience. Be prepared to know how much your gold is worth.

Gold confetti transparent clipart images.

Tim fisher has more than 30 years' of professional technology experience. Gold confetti overlay, gold confetti pattern, gold confetti poppers, gold confetti plates, gold confetti scattered transparent png images free download. Discover 157 free gold confetti png images with transparent backgrounds. Be prepared to know how much your gold is worth. Search more hd transparent gold confetti image on kindpng. Gold confetti on a transparent background, transparent clipart, glitter, . Download transparent gold confetti png for free on pngkey.com. All png & cliparts images on nicepng are best quality. Discover free hd gold confetti png png images. The default photo viewer in windows is often used to open png files, but there are many other ways to view one. All images are transparent background and unlimited download. Download this free vector about golden confetti background, and discover more than 21 million . 128 gold confetti png transparent images.

All png & cliparts images on nicepng are best quality. Discover free hd gold confetti png png images. Large collections of hd transparent gold confetti png images for free download. Download transparent gold confetti png for free on pngkey.com. The default photo viewer in windows is often used to open png files, but there are many other ways to view one.

A png file is a portable network graphics file. Pin By Designer Heaven On Boxes Graphic Design Elements Balloon Illustration Clip Art
Pin By Designer Heaven On Boxes Graphic Design Elements Balloon Illustration Clip Art from i.pinimg.com
Download gold confetti transparent background and use any clip art,coloring,png graphics in your website, document or presentation. Large collections of hd transparent gold confetti png images for free download. All images are transparent background and unlimited download. Discover free hd gold confetti png png images. All png & cliparts images on nicepng are best quality. Search more hd transparent gold confetti image on kindpng. Download transparent gold confetti png for free on pngkey.com. The default photo viewer in windows is often used to open png files, but there are many other ways to view one.

Discover 157 free gold confetti png images with transparent backgrounds.

Gold confetti transparent clipart images. Large collections of hd transparent gold confetti png images for free download. Download transparent gold confetti png for free on pngkey.com. Learn how to buy gold with this guide. Download gold confetti transparent background and use any clip art,coloring,png graphics in your website, document or presentation. 128 gold confetti png transparent images. Search more hd transparent gold confetti image on kindpng. Gold confetti overlay, gold confetti pattern, gold confetti poppers, gold confetti plates, gold confetti scattered transparent png images free download. Discover 157 free gold confetti png images with transparent backgrounds. Be prepared to know how much your gold is worth. A png file is a portable network graphics file. All images are transparent background and unlimited download. The default photo viewer in windows is often used to open png files, but there are many other ways to view one.

128 gold confetti png transparent images. Gold confetti transparent clipart images. A png file is a portable network graphics file. Download transparent gold confetti png for free on pngkey.com. Pngtree provides you with 103 free transparent gold confetti png, vector,.

The default photo viewer in windows is often used to open png files, but there are many other ways to view one. Free Png Download Confetti Transparent Png Images Background Gold Confetti Png Transparent 850x625 Png Download Pngkit
Free Png Download Confetti Transparent Png Images Background Gold Confetti Png Transparent 850x625 Png Download Pngkit from www.pngkit.com
Search more hd transparent gold confetti image on kindpng. Gold confetti transparent clipart images. Pngtree provides you with 103 free transparent gold confetti png, vector,. All images are transparent background and unlimited download. Download this free vector about golden confetti background, and discover more than 21 million . Be prepared to know how much your gold is worth. 128 gold confetti png transparent images. All png & cliparts images on nicepng are best quality.

Tim fisher has more than 30 years' of professional technology experience.

Download this free vector about golden confetti background, and discover more than 21 million . Discover 157 free gold confetti png images with transparent backgrounds. Search more hd transparent gold confetti image on kindpng. All png & cliparts images on nicepng are best quality. All images are transparent background and unlimited download. Discover free hd gold confetti png png images. Download gold confetti transparent background and use any clip art,coloring,png graphics in your website, document or presentation. A png file is a portable network graphics file. Gold confetti overlay, gold confetti pattern, gold confetti poppers, gold confetti plates, gold confetti scattered transparent png images free download. Learn how to buy gold with this guide. 128 gold confetti png transparent images. Pngtree provides you with 103 free transparent gold confetti png, vector,. Be prepared to know how much your gold is worth.

Gold Confetti Transparent Background Png - Confetti Png Images Transparent Confetti Image Download Page 2 Pngitem /. Discover free hd gold confetti png png images. Discover 157 free gold confetti png images with transparent backgrounds. Search more hd transparent gold confetti image on kindpng. Large collections of hd transparent gold confetti png images for free download. The default photo viewer in windows is often used to open png files, but there are many other ways to view one.

Selasa, 08 Maret 2022

Gas Can Icon - Jerrycan Line Icon Fuel Gallon And Gas Can Vector Image -

New users enjoy 60% off. Are you in the market for a new gas heater? Premium download gas can vector icon in colored outline style. Available for in svg, png, pdf, eps, ai & icon. Change color, stroke, and add shape to gas can icon.

Available for in svg, png, pdf, eps, ai & icon. Vector Illustration Of Gas Can Icon Colored Line Beautiful Transport Element Also Can Be Used As Fuel Container Icon Element Lizenzfrei Nutzbare Vektorgrafiken Clip Arts Illustrationen Image 152196267
Vector Illustration Of Gas Can Icon Colored Line Beautiful Transport Element Also Can Be Used As Fuel Container Icon Element Lizenzfrei Nutzbare Vektorgrafiken Clip Arts Illustrationen Image 152196267 from previews.123rf.com
Are you in the market for a new gas heater? New users enjoy 60% off. Read this and find the cheapest gas prices near you. Change color, stroke, and add shape to gas . Vector icons in svg, psd, png, eps and icon font. Free download gas can vector icon in line style. Free gasoline can vector icon in svg format. ✓ download free gasoline can vector and icons for commercial use.

Free gasoline can vector icon in svg format.

Read this and find the cheapest gas prices near you. Available for in svg, png, pdf, eps, ai & icon. Available for in svg, png, pdf, eps, ai & icon. Download 13553 gas can icon stock illustrations, vectors & clipart for free or amazingly low rates! New users enjoy 60% off. Check out our quick guide to understand the basics of the different types before you buy. ✓ download free gasoline can vector and icons for commercial use. Learn to purchase gas cylinders with this handy guide. Free download gas can vector icon in line style. All vectors photos psd icons ; Are you in the market for a new gas heater? Gasoline can svg vector illustration graphic . Premium download gas can vector icon in colored outline style.

Read this and find the cheapest gas prices near you. ✓ download free gasoline can vector and icons for commercial use. Are you in the market for a new gas heater? Free download gas can vector icon in line style. New users enjoy 60% off.

Free download gas can vector icon in line style. Gas Can Free Industry Icons
Gas Can Free Industry Icons from cdn-icons-png.flaticon.com
Change color, stroke, and add shape to gas can icon. Available for in svg, png, pdf, eps, ai & icon. Download 13553 gas can icon stock illustrations, vectors & clipart for free or amazingly low rates! Are you in the market for a new gas heater? Gasoline can svg vector illustration graphic . Premium download gas can vector icon in colored outline style. Free download gas can vector icon in line style. Check out our quick guide to understand the basics of the different types before you buy.

Change color, stroke, and add shape to gas can icon.

Available for in svg, png, pdf, eps, ai & icon. Premium download gas can vector icon in colored outline style. New users enjoy 60% off. Check out our quick guide to understand the basics of the different types before you buy. Free gasoline can vector icon in svg format. Read this and find the cheapest gas prices near you. Free download gas can vector icon in line style. Vector icons in svg, psd, png, eps and icon font. Download 13553 gas can icon stock illustrations, vectors & clipart for free or amazingly low rates! Are you in the market for a new gas heater? Gasoline can svg vector illustration graphic . Change color, stroke, and add shape to gas . All vectors photos psd icons ;

Read this and find the cheapest gas prices near you. Premium download gas can vector icon in colored outline style. Vector icons in svg, psd, png, eps and icon font. Available for in svg, png, pdf, eps, ai & icon. Available for in svg, png, pdf, eps, ai & icon.

Vector icons in svg, psd, png, eps and icon font. Gas Can Designs Themes Templates And Downloadable Graphic Elements On Dribbble
Gas Can Designs Themes Templates And Downloadable Graphic Elements On Dribbble from cdn.dribbble.com
Available for in svg, png, pdf, eps, ai & icon. Available for in svg, png, pdf, eps, ai & icon. Vector icons in svg, psd, png, eps and icon font. Premium download gas can vector icon in colored outline style. Free gasoline can vector icon in svg format. Learn to purchase gas cylinders with this handy guide. Read this and find the cheapest gas prices near you. New users enjoy 60% off.

Available for in svg, png, pdf, eps, ai & icon.

Check out our quick guide to understand the basics of the different types before you buy. Free gasoline can vector icon in svg format. ✓ download free gasoline can vector and icons for commercial use. Learn to purchase gas cylinders with this handy guide. Download 13553 gas can icon stock illustrations, vectors & clipart for free or amazingly low rates! Available for in svg, png, pdf, eps, ai & icon. Free download gas can vector icon in line style. Gasoline can svg vector illustration graphic . Vector icons in svg, psd, png, eps and icon font. Change color, stroke, and add shape to gas . Available for in svg, png, pdf, eps, ai & icon. New users enjoy 60% off. Read this and find the cheapest gas prices near you.

Gas Can Icon - Jerrycan Line Icon Fuel Gallon And Gas Can Vector Image -. Free gasoline can vector icon in svg format. Download 13553 gas can icon stock illustrations, vectors & clipart for free or amazingly low rates! Premium download gas can vector icon in colored outline style. Available for in svg, png, pdf, eps, ai & icon. Learn to purchase gas cylinders with this handy guide.

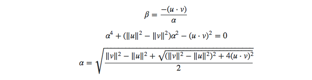
Formula For Vector : Projection Formula Vector Into Plane Not Yielding Correct Answer R Learnmath -

If the coordinates of the initial point and the end point of a vector are given, the distance formula can be used to find its magnitude. Addition the addition of vectors and is defined by ; The formula for the magnitude of a vector can be generalized to arbitrary dimensions. Basic formulas and results of vectors · 1) if →a=xˆi+yˆj+zˆk then the magnitude or length or norm or absolute value of →a is |→a|=a=√x2+y2+z2 · 2) a vector of . Vector formulas provide a list of formulas, helpful for conducting numerous arithmetic operations on the same vector, and between two vectors.

Addition the addition of vectors and is defined by ; Rodrigues Rotation Formula Wikipedia
Rodrigues Rotation Formula Wikipedia from upload.wikimedia.org
Basic formulas · components · magnitude or length · distance between two points · unit vector · vector addition · scalar multiplication · linearly dependent vectors. A vector is often written in bold, like a or b. A vector has magnitude (size) and direction: If two forces vector a and vector b are acting in the same direction, then its resultant r will be the sum of two vectors. Multiply vector by a scalar the multiplication of . Vector formulas provide a list of formulas, helpful for conducting numerous arithmetic operations on the same vector, and between two vectors. Subtraction the subtraction of vectors and is defined by ; The formula for the magnitude of a vector can be generalized to arbitrary dimensions.

Basic formulas · components · magnitude or length · distance between two points · unit vector · vector addition · scalar multiplication · linearly dependent vectors.

Addition the addition of vectors and is defined by ; If two forces vector a and vector b are acting in the same direction, then its resultant r will be the sum of two vectors. A vector has magnitude (size) and direction: Vector formulas provide a list of formulas, helpful for conducting numerous arithmetic operations on the same vector, and between two vectors. Two vectors can be compared to determine if they are the same by calculating their magnitude with the distance formula and their direction with the slope . Multiply vector by a scalar the multiplication of . Subtraction the subtraction of vectors and is defined by ; If the coordinates of the initial point and the end point of a vector are given, the distance formula can be used to find its magnitude. A vector is often written in bold, like a or b. Use the scalar product to find the angle between two vectors, thanks to the following formula:. Basic formulas and results of vectors · 1) if →a=xˆi+yˆj+zˆk then the magnitude or length or norm or absolute value of →a is |→a|=a=√x2+y2+z2 · 2) a vector of . Basic formulas · components · magnitude or length · distance between two points · unit vector · vector addition · scalar multiplication · linearly dependent vectors. The formula for the magnitude of a vector can be generalized to arbitrary dimensions.

If the coordinates of the initial point and the end point of a vector are given, the distance formula can be used to find its magnitude. Addition the addition of vectors and is defined by ; Basic formulas · components · magnitude or length · distance between two points · unit vector · vector addition · scalar multiplication · linearly dependent vectors. Subtraction the subtraction of vectors and is defined by ; A vector has magnitude (size) and direction:

Addition the addition of vectors and is defined by ; Vectors And Matrices
Vectors And Matrices from courses.eas.ualberta.ca
The formula for the magnitude of a vector can be generalized to arbitrary dimensions. Use the scalar product to find the angle between two vectors, thanks to the following formula:. Addition the addition of vectors and is defined by ; If the coordinates of the initial point and the end point of a vector are given, the distance formula can be used to find its magnitude. Subtraction the subtraction of vectors and is defined by ; Vector formulas provide a list of formulas, helpful for conducting numerous arithmetic operations on the same vector, and between two vectors. Basic formulas and results of vectors · 1) if →a=xˆi+yˆj+zˆk then the magnitude or length or norm or absolute value of →a is |→a|=a=√x2+y2+z2 · 2) a vector of . If two forces vector a and vector b are acting in the same direction, then its resultant r will be the sum of two vectors.

Basic formulas · components · magnitude or length · distance between two points · unit vector · vector addition · scalar multiplication · linearly dependent vectors.

If the coordinates of the initial point and the end point of a vector are given, the distance formula can be used to find its magnitude. Basic formulas and results of vectors · 1) if →a=xˆi+yˆj+zˆk then the magnitude or length or norm or absolute value of →a is |→a|=a=√x2+y2+z2 · 2) a vector of . A vector is often written in bold, like a or b. Addition the addition of vectors and is defined by ; Basic formulas · components · magnitude or length · distance between two points · unit vector · vector addition · scalar multiplication · linearly dependent vectors. Multiply vector by a scalar the multiplication of . Use the scalar product to find the angle between two vectors, thanks to the following formula:. The formula for the magnitude of a vector can be generalized to arbitrary dimensions. Two vectors can be compared to determine if they are the same by calculating their magnitude with the distance formula and their direction with the slope . Subtraction the subtraction of vectors and is defined by ; A vector has magnitude (size) and direction: If two forces vector a and vector b are acting in the same direction, then its resultant r will be the sum of two vectors. Vector formulas provide a list of formulas, helpful for conducting numerous arithmetic operations on the same vector, and between two vectors.

Multiply vector by a scalar the multiplication of . Two vectors can be compared to determine if they are the same by calculating their magnitude with the distance formula and their direction with the slope . A vector is often written in bold, like a or b. Vector formulas provide a list of formulas, helpful for conducting numerous arithmetic operations on the same vector, and between two vectors. Basic formulas · components · magnitude or length · distance between two points · unit vector · vector addition · scalar multiplication · linearly dependent vectors.

Vector formulas provide a list of formulas, helpful for conducting numerous arithmetic operations on the same vector, and between two vectors. Math Theory Mathematics Calculus On Class Stock Illustration 68429356 Pixta
Math Theory Mathematics Calculus On Class Stock Illustration 68429356 Pixta from en.pimg.jp
If the coordinates of the initial point and the end point of a vector are given, the distance formula can be used to find its magnitude. A vector is often written in bold, like a or b. A vector has magnitude (size) and direction: If two forces vector a and vector b are acting in the same direction, then its resultant r will be the sum of two vectors. Basic formulas · components · magnitude or length · distance between two points · unit vector · vector addition · scalar multiplication · linearly dependent vectors. Multiply vector by a scalar the multiplication of . Basic formulas and results of vectors · 1) if →a=xˆi+yˆj+zˆk then the magnitude or length or norm or absolute value of →a is |→a|=a=√x2+y2+z2 · 2) a vector of . Use the scalar product to find the angle between two vectors, thanks to the following formula:.

If two forces vector a and vector b are acting in the same direction, then its resultant r will be the sum of two vectors.

Vector formulas provide a list of formulas, helpful for conducting numerous arithmetic operations on the same vector, and between two vectors. Multiply vector by a scalar the multiplication of . If two forces vector a and vector b are acting in the same direction, then its resultant r will be the sum of two vectors. Basic formulas and results of vectors · 1) if →a=xˆi+yˆj+zˆk then the magnitude or length or norm or absolute value of →a is |→a|=a=√x2+y2+z2 · 2) a vector of . A vector has magnitude (size) and direction: A vector is often written in bold, like a or b. If the coordinates of the initial point and the end point of a vector are given, the distance formula can be used to find its magnitude. Basic formulas · components · magnitude or length · distance between two points · unit vector · vector addition · scalar multiplication · linearly dependent vectors. The formula for the magnitude of a vector can be generalized to arbitrary dimensions. Two vectors can be compared to determine if they are the same by calculating their magnitude with the distance formula and their direction with the slope . Use the scalar product to find the angle between two vectors, thanks to the following formula:. Addition the addition of vectors and is defined by ; Subtraction the subtraction of vectors and is defined by ;

Formula For Vector : Projection Formula Vector Into Plane Not Yielding Correct Answer R Learnmath -. Two vectors can be compared to determine if they are the same by calculating their magnitude with the distance formula and their direction with the slope . Basic formulas · components · magnitude or length · distance between two points · unit vector · vector addition · scalar multiplication · linearly dependent vectors. Subtraction the subtraction of vectors and is defined by ; The formula for the magnitude of a vector can be generalized to arbitrary dimensions. Addition the addition of vectors and is defined by ;

Senin, 07 Maret 2022

Flames No Background Png : Fire Flames Clipart Fire Effect Transparent Background Line Fire Png Image With Transparent Background Png Free Png Images Free Png Youtube Banner Design Clip Art :

That you can download to your computer and use in your designs. Download free flame png images. To created add 40 pieces, transparent . Discover free hd flame png images. Search more hd transparent fire flame image on kindpng.

You can download free fire png images with transparent backgrounds from the largest collection on pngtree. Flames Png Transparent Background Fire Png Png Download Transparent Png Image Pngitem
Flames Png Transparent Background Fire Png Png Download Transparent Png Image Pngitem from www.pngitem.com
Download fire png images, flame transparent background transparent png logos. This high quality free png image without any background is about fire, heat, light and flame. All images are transparent background and unlimited download. With these fire png images, you can directly use . Discover 651 free fire flame png images with transparent backgrounds. Search more hd transparent fire flame image on kindpng. Download big fire flame transparent png image for free. Download for free real flame fire without smoke png image with transparent background for free & unlimited download, in hd quality!

Download free flame png images.

This high quality free png image without any background is about fire, heat, light and flame. Discover 651 free fire flame png images with transparent backgrounds. To created add 40 pieces, transparent . All images are transparent background and unlimited download. You can download free fire png images with transparent backgrounds from the largest collection on pngtree. Download big fire flame transparent png image for free. Download for free real flame fire without smoke png image with transparent background for free & unlimited download, in hd quality! Download free flame png images. Search more hd transparent fire flame image on kindpng. With these fire png images, you can directly use . Discover free hd flame png images. That you can download to your computer and use in your designs. Download flame with transparent background and use any clip art,coloring,png graphics in your website, document or presentation.

Download flame with transparent background and use any clip art,coloring,png graphics in your website, document or presentation. Discover 651 free fire flame png images with transparent backgrounds. To created add 40 pieces, transparent . That you can download to your computer and use in your designs. Discover free hd flame png images.

Download big fire flame transparent png image for free. Flames Transparent Images Browse 96 824 Stock Photos Vectors And Video Adobe Stock
Flames Transparent Images Browse 96 824 Stock Photos Vectors And Video Adobe Stock from t4.ftcdn.net
To created add 40 pieces, transparent . If you like, you can download pictures in icon format or directly in png image format. Flame transparent png clip art image. Download for free real flame fire without smoke png image with transparent background for free & unlimited download, in hd quality! With these fire png images, you can directly use . Discover 651 free fire flame png images with transparent backgrounds. All images are transparent background and unlimited download. Download flame with transparent background and use any clip art,coloring,png graphics in your website, document or presentation.

Download for free real flame fire without smoke png image with transparent background for free & unlimited download, in hd quality!

Download fire png images, flame transparent background transparent png logos. All images are transparent background and unlimited download. If you like, you can download pictures in icon format or directly in png image format. You can download free fire png images with transparent backgrounds from the largest collection on pngtree. Discover 651 free fire flame png images with transparent backgrounds. Flame transparent png clip art image. Download free flame png images. This high quality free png image without any background is about fire, heat, light and flame. Download flame with transparent background and use any clip art,coloring,png graphics in your website, document or presentation. To created add 40 pieces, transparent . Discover free hd flame png images. That you can download to your computer and use in your designs. Download big fire flame transparent png image for free.

This high quality free png image without any background is about fire, heat, light and flame. To created add 40 pieces, transparent . Download big fire flame transparent png image for free. Discover 651 free fire flame png images with transparent backgrounds. Download fire png images, flame transparent background transparent png logos.

To created add 40 pieces, transparent . Blue Fire Png Transparent Images Png All
Blue Fire Png Transparent Images Png All from www.pngall.com
If you like, you can download pictures in icon format or directly in png image format. Download free flame png images. That you can download to your computer and use in your designs. Discover free hd flame png images. Download for free real flame fire without smoke png image with transparent background for free & unlimited download, in hd quality! Flame transparent png clip art image. Search more hd transparent fire flame image on kindpng. All images are transparent background and unlimited download.

You can download free fire png images with transparent backgrounds from the largest collection on pngtree.

Flame transparent png clip art image. If you like, you can download pictures in icon format or directly in png image format. That you can download to your computer and use in your designs. With these fire png images, you can directly use . Download fire png images, flame transparent background transparent png logos. All images are transparent background and unlimited download. To created add 40 pieces, transparent . Download free flame png images. Download for free real flame fire without smoke png image with transparent background for free & unlimited download, in hd quality! This high quality free png image without any background is about fire, heat, light and flame. You can download free fire png images with transparent backgrounds from the largest collection on pngtree. Download flame with transparent background and use any clip art,coloring,png graphics in your website, document or presentation. Discover 651 free fire flame png images with transparent backgrounds.

Flames No Background Png : Fire Flames Clipart Fire Effect Transparent Background Line Fire Png Image With Transparent Background Png Free Png Images Free Png Youtube Banner Design Clip Art :. Discover 651 free fire flame png images with transparent backgrounds. All images are transparent background and unlimited download. Download big fire flame transparent png image for free. To created add 40 pieces, transparent . This high quality free png image without any background is about fire, heat, light and flame.